Timezupp!!

Calculating your scorecard.

-- : --
Are you sure?
Question 1 reset

A block of mass of 1 kg is moving on the x-axis. A force F acting on the block is shown. Velocity of the block at time t = 2 s is −3 m/s. What is the speed of the block at time t = 4 s?

Question 2 reset

p-V diagram of an ideal gas is shown. The gas undergoes from initial state A to final state B such that initial and final volumes are same. Select the correct alternative for given process AB.

Question 3 reset

In the given figure, atmospheric pressure p0 = 1 atm and mercury column length is 9 cm. Pressure p of the gas enclosed in the tube is

Question 4 reset

In Young’s double slit experiment, the path difference between two interfering waves at a point on screen is 13.5 times the wavelength. The point is

Question 5 reset

A time varying horizontal force (in Newton) F = 8 |sin(4πt)| is acting on a stationary block of mass 2 kg as shown. Friction coefficient between the block and ground is μ = 0 5. and g = 10 m/s2 . Then resulting motion of the block will be

Question 6 reset

A ball having velocity v towards right and having angular velocity clockwise approaches the wall. It collides elastically with wall and moves towards left. Ground and wall are frictionless. Select the correct statement about angular velocity of the ball after collision.

Question 7 reset
Which of the following material is not ferromagnetic in nature?
Question 8 reset

In steady state, charge on 3 μF capacitor is

Question 9 reset

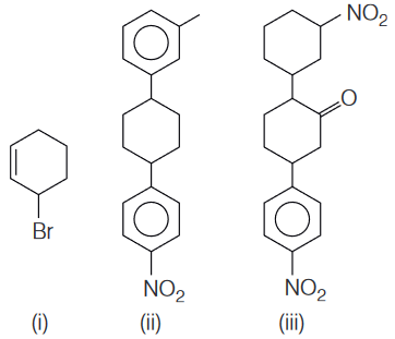
Give the IUPAC name for the following structure

Question 10 reset

Which of the following molecules is optically active?


Question 11 reset
In aldol addition reaction product is always
Question 12 reset

The number of moles of Grignard reagent consumed per mole of the compound

Question 13 reset

How many bonds are there in

Question 14 reset

Which graph represents the zero order reaction [A(g) → B(g)]


Question 15 reset

Let A = {u, v, w, x} and B = {3, 5}, then the number of relations from A to B is

Question 16 reset

Question 17 reset

If a, b, c are three vectors such that [a b c] = 5,

then the value of [a x b, b x c, c x a] is

Question 18 reset

In a traingle ΔABC if,

  • 3 sin A + 4 cos B = 6
  • 4 sin B + 3 cos A = 1

then the angle C is

Question 19 reset

The domain of the definition of the function

Question 20 reset

Time Over

Please wait while we are submitting your test

Are you sure you want to finish test early?